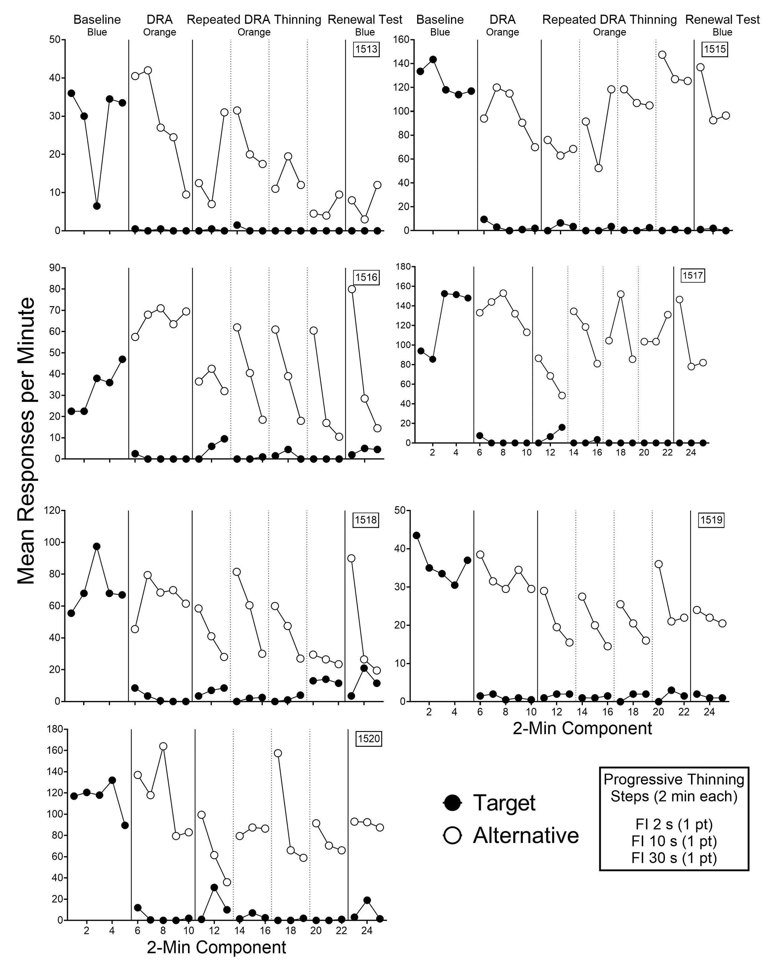
Note. Data points display mean responses per 2-min component for the target (closed circles) and alternative (open circles) responses.

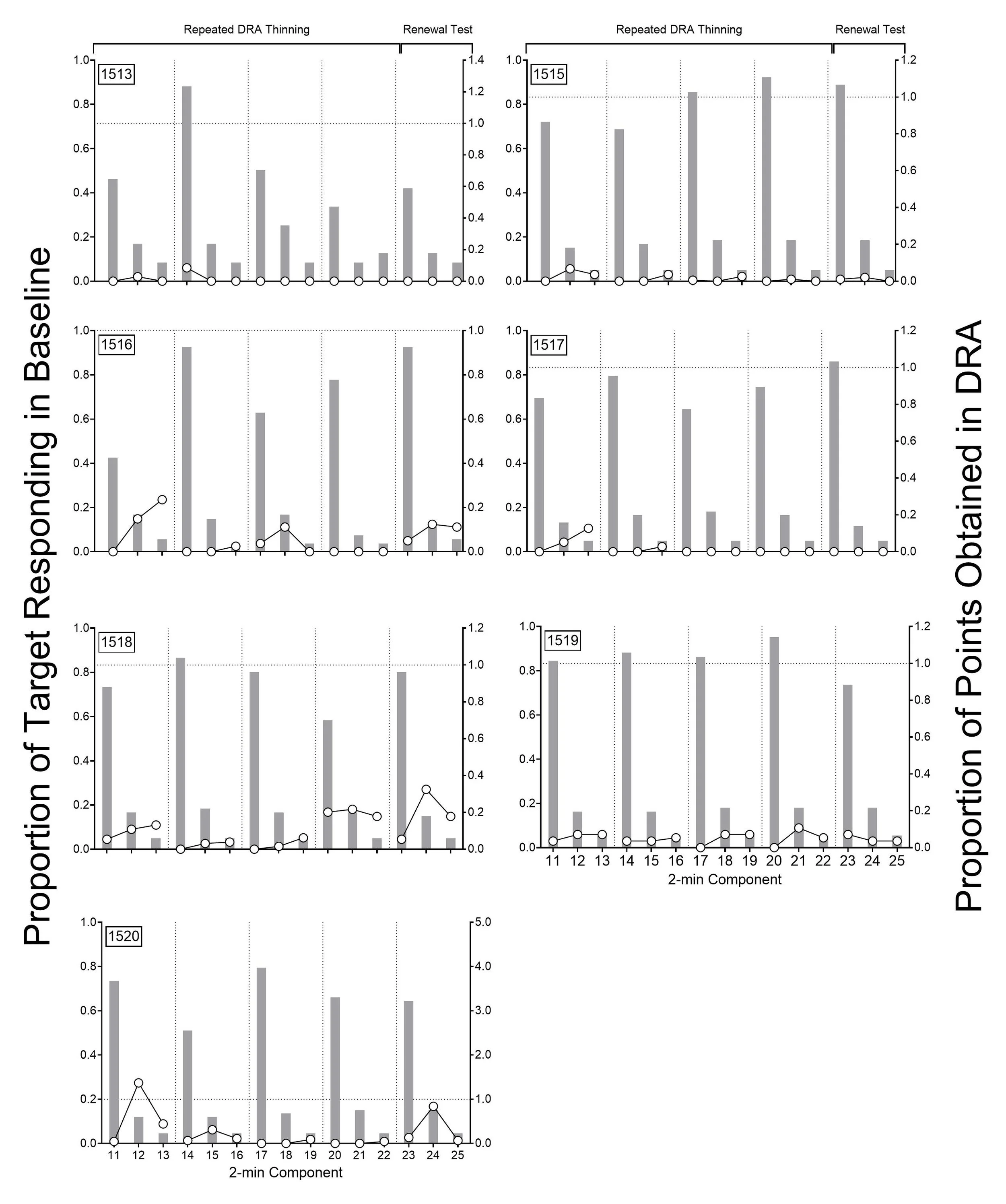
Note. Data points show the proportion of baseline values during repeated DRA thinning and the renewal test. The bars display the proportion of points earned during the last 5 min of DRA.

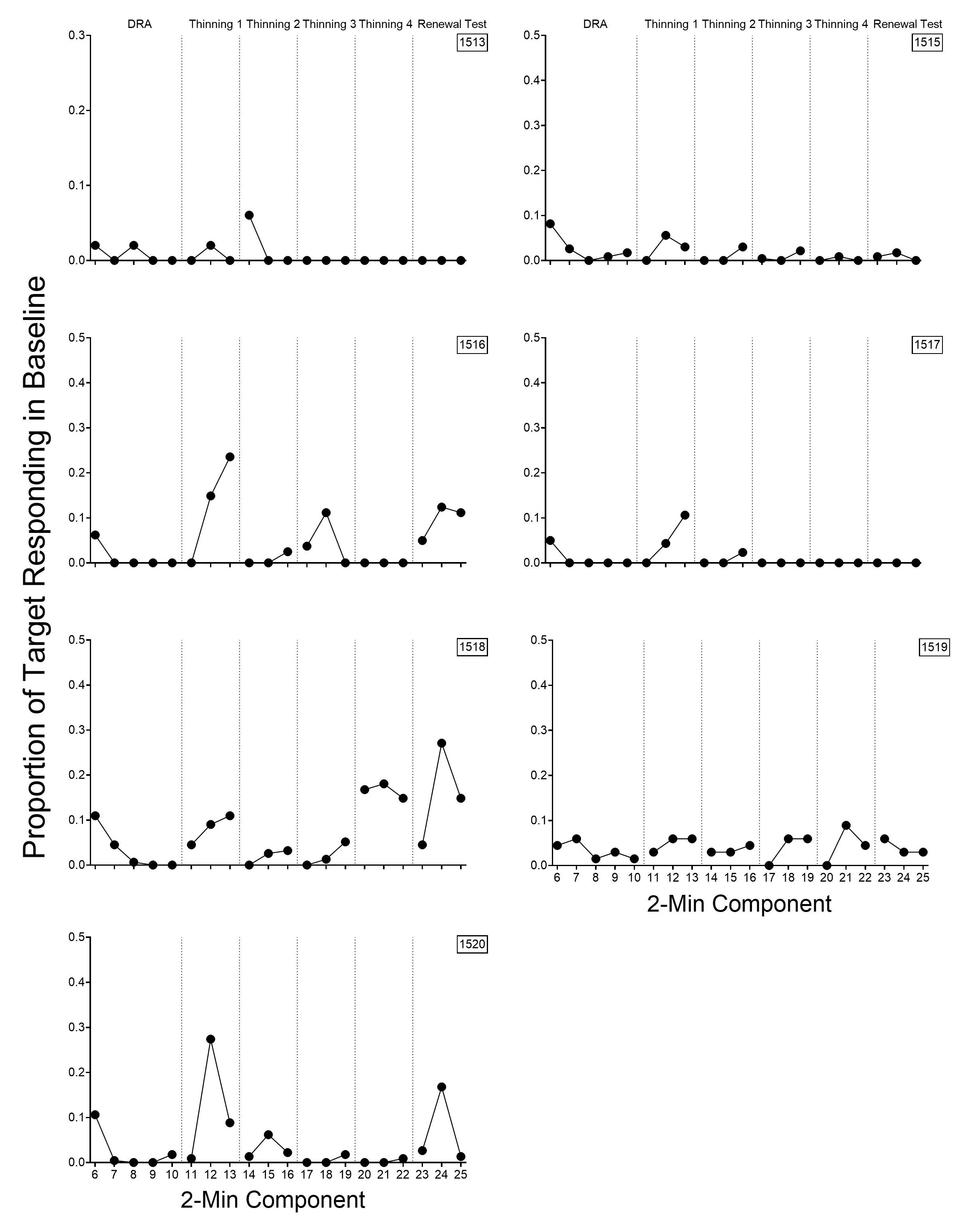
Note. Data points display the proportion of target responding during DRA.

References  

Kranak, M. P., & Falligant, J. M. (2021). Further investigation of resurgence following schedule thinning: Extension to an inpatient setting. Behavioral Interventions36(4), 1003–1012.

Mitteer, D. R., Greer, B. D., Randall, K. R., & Haney, S. D. (2022). On the scope and characteristics of relapse when treating severe destructive behavior. Journal of Applied Behavior Analysis55(3), 688–703.

Nist, A. N., & Shahan, T. A. (2021). Resurgence and repeated within‐session progressive‐interval thinning of alternative reinforcement. Journal of the Experimental Analysis of Behavior115(2), 442–459.

Tiger, J. H., Hanley, G. P., & Bruzek, J. (2008). Functional communication training: A review and practical guide. Behavior Analysis in Practice, 1(1), 16–23. https://doi.org/10.1007/BF03391716